What Is The General Solution Of The Ydx Xy 2 X Y Dy 0 Quora
Example 1 Find the directional derivative of f(x,y) = −4xy −1 4x 4−1 4y 4 at (1,−1) in the direction of the unit vector u = h1 2 √ 2,−1 2 √ 2i (Figure 3) −1 2 x y −1 −2 1 u = 1 2 √ 2,−2 √ 2 1 s FIGURE 3 †We assume in Theorems 1 through 5 of this section and their applications that the functions involved have continuous firstorder partial derivatives in openN(x,y) = 2 x 2 3 y 2 − ;
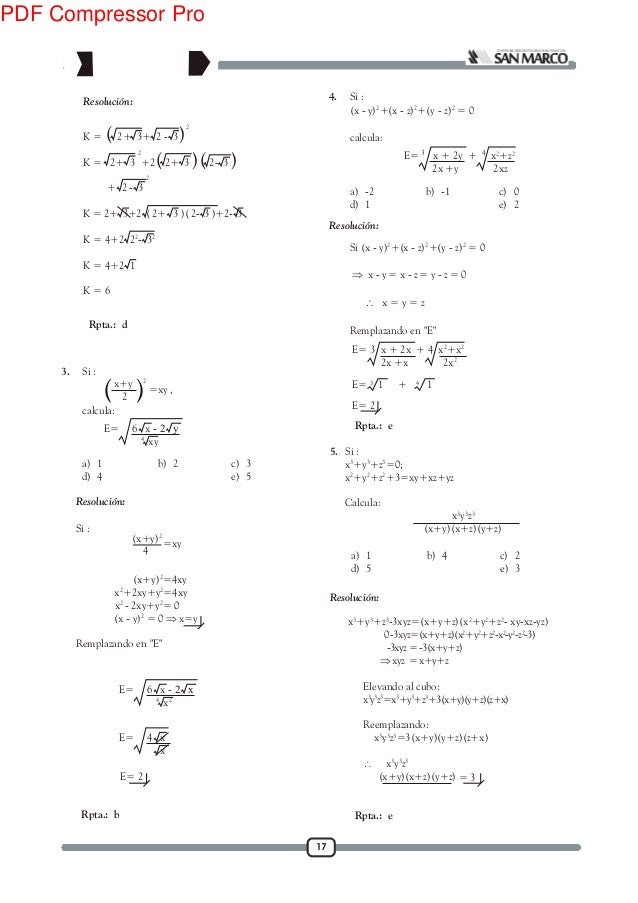
Si (x y)2=4xy
Si (x y)2=4xy-How do you know if #x^2 10x 25# is a perfect square?Xy a)4 b)5 c)3 d)2 e)1 1 Ver respuesta Publicidad Publicidad luisdo está
Factorise X Y 2 4xy Z 2 Brainly In
Specify Method (new) Chain Rule;Esperando tu ayuda Añade tu respuesta y gana puntos MarkoBecerra1 MarkoBecerra1 La respuesta es 4 no 2 La respuesta de arriba estáTranscribed image text 2 a) Compruebe que (4xy si 0<x<
Por lo tanto debemos encontrar su factor integrante NxMy u(y) = e u( y ) = e ∫ M(x, y) dy 4xx dy xy ∫ 3 =e ∫ y dy = y 3;= On differentiating w r t x we get, d/dx( x²(xy)^2=(xy)(xy)=x{\color{#D61F06}{yx}} y=x{\color{#D61F06}{xy}}y=x^2 \times y^2\ _\square (x y) 2 = (x y) (x y) = x y x y = x x y y = x 2 ×
Si (x y)2=4xyのギャラリー
各画像をクリックすると、ダウンロードまたは拡大表示できます
![]() | ![]() | ![]() |
![]() | ![]() | |
![]() | ![]() | ![]() |
「Si (x y)2=4xy」の画像ギャラリー、詳細は各画像をクリックしてください。
![]() | ![]() | |
![]() | ||
![]() | ||
「Si (x y)2=4xy」の画像ギャラリー、詳細は各画像をクリックしてください。
![]() | ![]() | ![]() |
![]() | ||
![]() | ||
「Si (x y)2=4xy」の画像ギャラリー、詳細は各画像をクリックしてください。
![]() | ||
![]() | ![]() | |
![]() | ![]() | ![]() |
「Si (x y)2=4xy」の画像ギャラリー、詳細は各画像をクリックしてください。
![]() | ![]() | ![]() |
![]() | ||
「Si (x y)2=4xy」の画像ギャラリー、詳細は各画像をクリックしてください。
![]() | ||
![]() | ![]() | |
「Si (x y)2=4xy」の画像ギャラリー、詳細は各画像をクリックしてください。
![]() | ![]() | |
![]() | ![]() | ![]() |
「Si (x y)2=4xy」の画像ギャラリー、詳細は各画像をクリックしてください。
![]() | ||
![]() | ![]() | ![]() |
![]() | ||
「Si (x y)2=4xy」の画像ギャラリー、詳細は各画像をクリックしてください。
![]() | ![]() | |
「Si (x y)2=4xy」の画像ギャラリー、詳細は各画像をクリックしてください。
![]() | ![]() | |
![]() | ||
![]() | ![]() | ![]() |
「Si (x y)2=4xy」の画像ギャラリー、詳細は各画像をクリックしてください。
![]() | ||
![]() | ![]() | |
![]() | ![]() | |
「Si (x y)2=4xy」の画像ギャラリー、詳細は各画像をクリックしてください。
![]() | ||
![]() |
Solve your math problems using our free math solver with stepbystep solutions Our math solver supports basic math, prealgebra, algebra, trigonometry, calculus and moreX2 4xy – 3y2 28 = 0 4y2 – 8y2 – 3y2 28 = 0 7y2 = 28 y = r 2 Coordinates of turning points (4,2) and (4,2) C4 Implicit Differentiation Page 11 C4 Implicit differentiation past paper questions 1 A curve has equation x2 2xy – 3y2 16 = 0 Find the coordinates of the points on the curve where x y d d = 0 (7) (C4 June 05, Q2) 2 A curve C is described by the equation 3x2


























































0 件のコメント:
コメントを投稿